Pollution, pollution
January 2, 2020
Somc bunny not to be named later sucked Eli into Twittering with another RWNJ TV meteorologist type but something interesting came out of it. While berating China and India for not being the biggest polluters on the planet, this map was posted
There are some interesting things about the map.
First, the big blob in Saudi Arabia and the smaller one in southeast Nigeria mark out oil patches. Second the blobs in northeast China and the Ganges River Valley in India are IEHO markers of coal burning and ICE transportation. (Look at SE Asia, not wonderful but the traffic is really bad there too. Third, it would be interesting to know what is going on in northern Nigeria, Niger and Chad as well as the Sahara in general and Mongolia. Is that simply blown sand? The World Health Organization has detailed and up to date maps
FWIW Brazil and southern Africa show the effects of seasonal biomass burning.
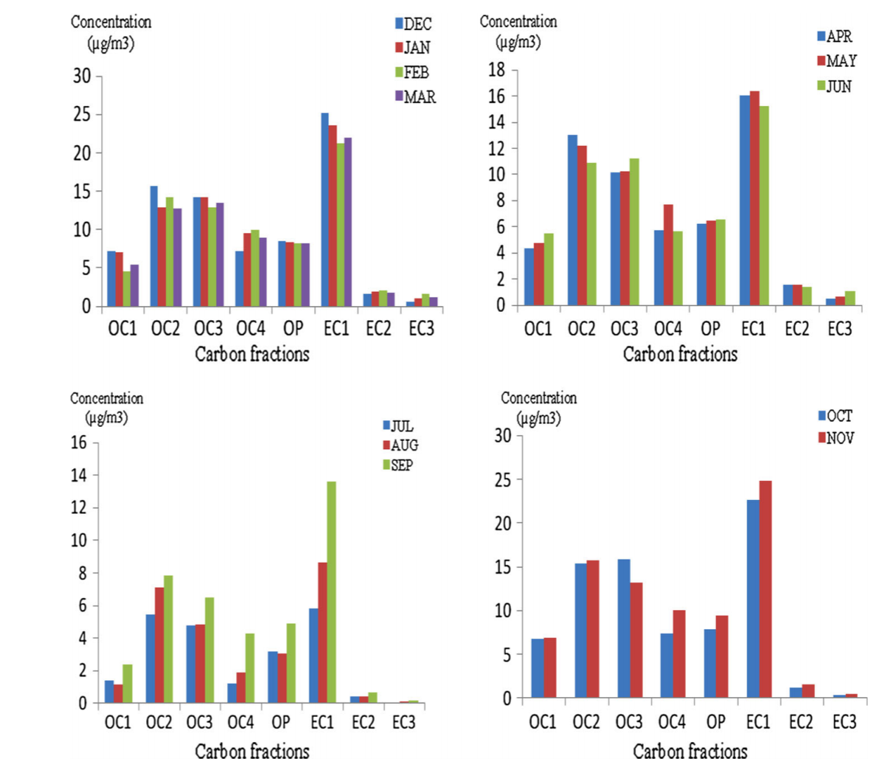
That's EHO, but it lead to a paper by Papiya Mandal, R. Sarkar, A. Mandal and T. Saud, "Seasonal variation and sources of aerosol pollution in Delhi, India" who analyzed the sources of carbon in Dehli over a year. OC1 below traces biomass burning, EC2 and EC3 diesel engines and OC2, OC3, OC4, OP and EC1 gasoline vehicle exhaust or coal combustion.
Conclusion: Biomass burning is bad, but fossil fuels kill and oh yes, the situation has really gotten evil in Australia.
There are some interesting things about the map.
First, the big blob in Saudi Arabia and the smaller one in southeast Nigeria mark out oil patches. Second the blobs in northeast China and the Ganges River Valley in India are IEHO markers of coal burning and ICE transportation. (Look at SE Asia, not wonderful but the traffic is really bad there too. Third, it would be interesting to know what is going on in northern Nigeria, Niger and Chad as well as the Sahara in general and Mongolia. Is that simply blown sand? The World Health Organization has detailed and up to date maps
FWIW Brazil and southern Africa show the effects of seasonal biomass burning.
That's EHO, but it lead to a paper by Papiya Mandal, R. Sarkar, A. Mandal and T. Saud, "Seasonal variation and sources of aerosol pollution in Delhi, India" who analyzed the sources of carbon in Dehli over a year. OC1 below traces biomass burning, EC2 and EC3 diesel engines and OC2, OC3, OC4, OP and EC1 gasoline vehicle exhaust or coal combustion.
Conclusion: Biomass burning is bad, but fossil fuels kill and oh yes, the situation has really gotten evil in Australia.



